Levende systemer / figurer
Her finder du figurer til Levende systemer. Du kan læse mere om bogen her.
© Kopiering fra denne hjemmeside må kun finde sted på institutioner eller virksomheder der har indgået aftale med Copydan Tekst & Node og kun inden for de rammer der er nævnt i aftalen
Figur 2
a. Organisationsniveauer i den biologiske verden.
b. Sammenhæng mellem de længdeenheder der ofte anvendes i biologi. Enheden Å udtales Ångstrøm.
© Nucleus Forlag ApS | Illustrator: Elin Steffensen, Griffle | ISBN 978-87-93647-73-2
Figur 3
Det biologiske system modtager input i form af signaler fra omgivelserne og adapterer ved at respondere med et output.
a. En E. coli vil én gang hvert sekund foretage en tumlebevægelse og bevæge sig i en ny tilfældig retning. Hvis den registrerer en stigende koncentration af et tiltrækkende stof, udsættes tiden før næste tumlebevægelse, og dermed vil den samlet set bevæge sig i en bestemt retning.
b. Input-output-model for systemet.
c. Diagram for input-output-modellen. Ved signalbehandlingen hæmmes en ny tumlebevægelse.
© Nucleus Forlag ApS | Illustrator: Elin Steffensen, Griffle | ISBN 978-87-93647-73-2
Figur 4
Omics findes på forskellige niveauer som afspejler det informationsflow som sker i cellen.
© Nucleus Forlag ApS | Illustrator: Elin Steffensen, Griffle | ISBN 978-87-93647-73-2
Figur 5
SBGN-model for:
1. En celles optagelse af glucose.
2. Spaltning af glucose til pyruvat ved glycolyse.
3. Omdannelse af pyruvat til lactat ved mælkesyregæring.
4. Udskillelse af lactat.
© Nucleus Forlag ApS | Illustrator: Elin Steffensen, Griffle | ISBN 978-87-93647-73-2
Figur 6
a. Screenshot fra programmet Tinkercell af systemet i figur 5.
b. Resultatet af en simulering. Hver kurve viser koncentrationsændringer af et af stofferne i modellen. Enhederne på akserne er relative værdier.
© Nucleus Forlag ApS | Illustrator: Elin Steffensen, Griffle | ISBN 978-87-93647-73-2
Figur 7
Model for et levende system som anvendes på SDU i forbindelse med udvikling af kunstigt liv og forskning i hvad der karakteriserer liv. Funktionaliteter er de funktioner undersystemet skal kunne varetage på tilstrækkelig vis. Undersystemerne er i et bestemt kemisk miljø med ressourcer i form af kemiske forbindelser, som det metaboliske system omdanner til byggesten. Omgivelserne spiller en større rolle jo mere primitivt liv der er tale om, idet mere komplekst liv i højere grad er i stand til at kompensere for et udfordrende kemisk miljø.
© Nucleus Forlag ApS | Illustrator: Elin Steffensen, Griffle | ISBN 978-87-93647-73-2
Figur 8
Protocelle.
© Nucleus Forlag ApS | Illustrator: Elin Steffensen, Griffle | ISBN 978-87-93647-73-2
Figur 9abc
a. Bakteriecelle (prokaryot).
b. Dyrecelle (eukaryot).
c. Plantecelle (eukaryot).
© Nucleus Forlag ApS | Illustrator: Elin Steffensen, Griffle | ISBN 978-87-93647-73-2
Figur 9d
De enkelte enheders funktion i cellen.
© Nucleus Forlag ApS | Illustrator: Elin Steffensen, Griffle | ISBN 978-87-93647-73-2
Figur 11
Designstrategier i syntetisk biologi.
© Nucleus Forlag ApS | Illustrator: Elin Steffensen, Griffle | ISBN 978-87-93647-73-2
Figur 12
Genomet i en eukaryot gærcelle og en prokaryot bakteriecelle.
a. Genomet er organiseret i lineære kromosomer der optræder i par. Hvert kromosom består af en DNA-streng som er oprullet omkring histoner.
b. Genomet består af et cirkulært kromosom der en cirkulær DNA-streng, som er organiseret i loops vha. strukturproteiner. Plasmider er små ekstra kromosomer der kan udveksles mellem bakterieceller.
© Nucleus Forlag ApS | Illustrator: Elin Steffensen, Griffle | ISBN 978-87-93647-73-2
Figur 13
SBGN-model for stofomsætningen i cellens metaboliske system hos:
a. Autotrofe organismer
b. Heterotrofe organismer.
© Nucleus Forlag ApS | Illustrator: Elin Steffensen, Griffle | ISBN 978-87-93647-73-2
Figur 14
a. ATP overfører energi mellem enzymkatalyserede processer. Energien overføres fra en energifrigørende proces til en energikrævende.
b. Strukturformel for ATP og forskellen på ATP, ADP og AMP.
© Nucleus Forlag ApS | Illustrator: Elin Steffensen, Griffle | ISBN 978-87-93647-73-2
Figur 15
Virkning af β-galactosidase. E: Enzym, S: Substrat, ES: Enzymsubstrat-kompleks, P: Produkt.
© Nucleus Forlag ApS | Illustrator: Elin Steffensen, Griffle | ISBN 978-87-93647-73-2
Figur 16
SBGN-model for optagelse og nedbrydning af glucose ved mælkesyregæring eller respiration. Figuren er en udvidelse af modellen i figur 5.
© Nucleus Forlag ApS | Illustrator: Elin Steffensen, Griffle | ISBN 978-87-93647-73-2
Figur 17
Oversigt over metaboliske procesveje tilknyttet metabolitter i glycolyse og citronsyrecyklus.
© Nucleus Forlag ApS | Illustrator: Elin Steffensen, Griffle | ISBN 978-87-93647-73-2
Figur 18
Taktisk adaptation i det metaboliske system. S: Substrat, P: Produkt.
a. Reguleringsmekanismer.
b. Koncentrationen af produktet ved en ureguleret proces og ved hhv. positiv og negativ feedback.
© Nucleus Forlag ApS | Illustrator: Elin Steffensen, Griffle | ISBN 978-87-93647-73-2
Figur 19
SBGN-model for mælkesyrebakteriers optagelse og nedbrydning af lactose ved mælkesyregæring. Modellen udvider modellen i figur 6.
© Nucleus Forlag ApS | Illustrator: Elin Steffensen, Griffle | ISBN 978-87-93647-73-2
Figur 20a
Screenshot fra programmet Tinkercell der viser en model af lactoseomsætning i en mælkesyrebakterie.
© Nucleus Forlag ApS | Illustrator: Elin Steffensen, Griffle | ISBN 978-87-93647-73-2
Figur 20b
Resultatet af en simulering af lactoseomsætning i programmet Tinkercell. Hver kurve viser koncentrationsændringer af et af stofferne i modellen. Enhederne på akserne er relative værdier.
© Nucleus Forlag ApS | Illustrator: Elin Steffensen, Griffle | ISBN 978-87-93647-73-2
Figur 21
Viser hvordan omdannelse af lactose til lactat typisk forløber i en kultur af mælkesyrebakterier. Det varer næsten en time fra bakterierne tilsættes mælken, til at forgæringen er målelig. Denne fase af processen kaldes for nølefasen. Her sker en strategisk adaptation, og først når cellerne registrerer at der er rigeligt lactose til stede, aktiveres generne som producerer de nødvendige proteiner for at optage og nedbryde lactat og omdanne galactose. Reagerer cellen for hurtigt, vil den risikere at forbruge ATP til at danne unødvendige pumper og enzymer.
© Nucleus Forlag ApS | Illustrator: Elin Steffensen, Griffle | ISBN 978-87-93647-73-2
Figur 22
a. Cellemembran med proteiner.
b. Strukturformel for et phospholipid.
© Nucleus Forlag ApS | Illustrator: Elin Steffensen, Griffle | ISBN 978-87-93647-73-2
Figur 23
a. Passiv transport gennem en membran sker ved diffusion som ikke kræver energi fra cellens side. Molekyler i en opløsning flytter sig med tilfældige bevægelser og fordeles jævnt ved diffusion. Dvs. at nettodiffusionen forløber med diffusionsgradienten, fra høj til lav koncentration.
b. Aktiv transport er når polære molekyler eller ioner transporteres fra den side af en membran hvor koncentrationen er lav til hvor den er høj. Da det sker modsat koncentrationsgradienten, kræver det energi i form af ATP.
© Nucleus Forlag ApS | Illustrator: Elin Steffensen, Griffle | ISBN 978-87-93647-73-2
Figur 25
Eksempler på proteiner i cellen og deres funktioner.
© Nucleus Forlag ApS | Illustrator: Elin Steffensen, Griffle | ISBN 978-87-93647-73-2
Figur 26
Proteiners strukturniveauer.
© Nucleus Forlag ApS | Illustrator: Elin Steffensen, Griffle | ISBN 978-87-93647-73-2
Figur 27
En aminosyre består af en konstant del der indeholder en aminogruppe, en carboxylsyregruppe samt et variabelt radikal.
© Nucleus Forlag ApS | Illustrator: Elin Steffensen, Griffle | ISBN 978-87-93647-73-2
Figur 28
Aminosyrer er proteinernes byggesten. De 20 naturligt forekommende aminosyrer. For hver aminosyre er angivet navn samt ét-bogstavs- og tre-bogstavsforkortelser.
© Nucleus Forlag ApS | Illustrator: Elin Steffensen, Griffle | ISBN 978-87-93647-73-2
Figur 29
Forskellige mekanismer til aktivering af enzymer. A: aktivator, I: inhibitor.
a. Fraspaltning af polypeptidkæde.
b. Binding af en aktivator.
c. Fraspaltning af en inhibitor.
d. Phosphorylering fx ved aktivering af en receptor i cellemembranen.
© Nucleus Forlag ApS | Illustrator: Elin Steffensen, Griffle | ISBN 978-87-93647-73-2
Figur 30
Cofaktorers inddeling.
© Nucleus Forlag ApS | Illustrator: Elin Steffensen, Griffle | ISBN 978-87-93647-73-2
Figur 31
Kemoreceptorer i E. coli.
a. Fire receptorer registrerer forskellige næringsstoffer. Binding af næringsstofferne medfører kemiske ændringer i receptoren. CheW/CheA registrerer kemiske ændringer ved at nulstille receptorerne løbende og registrere hvor mange ændringer der dukker op mellem hver nulstilling. CheW/CheA regulerer på den baggrund bevægelserne i bakteriens flageller.
b. Båndmodel af CheW/CheA set fra siden.
c. Båndmodel af CheW/CheA set fra oven.
© Nucleus Forlag ApS | Illustrator: Elin Steffensen, Griffle | ISBN 978-87-93647-73-2
Figur 32a
3D-struktur af GFP.
© Nucleus Forlag ApS | Illustrator: Elin Steffensen, Griffle | ISBN 978-87-93647-73-2
Figur 33
Lactose-permease.
a. Model for virkning af lactose-permease.
b. Spacefill-model af lactose-permease åbnet mod membranens cytoplasmaside. Hver lille kugle repræsenterer et atom. Hydrofobe aminosyrer er røde, mens hydrofile er blå. De afsnit af proteinet der er indlejret i cellemembranen, er overvejende upolære, mens de dele der vender ud mod cytoplasma og den ekstracellulære væske er polære. Herved stabiliseres proteinets placering i membranen.
c. Båndmodel af lactose-permease.
© Nucleus Forlag ApS | Illustrator: Elin Steffensen, Griffle | ISBN 978-87-93647-73-2
Figur 34
a. Spacefill-model af MspA set fra oven. Poren er opbygget af otte subunits.
b. Spacefill-model fra siden som viser porens placering i membranen.
c. Gennemskåret model der viser hvordan porestørrelsen bestemmer hvilke molekyler der kan passere.
© Nucleus Forlag ApS | Illustrator: Elin Steffensen, Griffle | ISBN 978-87-93647-73-2
Figur 35
a. Virkemåde for PTS.
1. Proteinet EI spalter PEP til pyruvat og phosphat.
2. Phosphat bindes til proteinet HPr. HPr afgiver phosphat til EIIA og videre til EIIB.
3. Lactose udenfor cellen bindes til proteinets EIIC.
4. EIIC katalyserer at phosphat overføres fra EIIB og bindes til lactose.
5. Pga. strukturen af EIIC afgives lactosephosphat til cytoplasma.
b. Detaljer af reaktion 3-5.
© Nucleus Forlag ApS | Illustrator: Elin Steffensen, Griffle | ISBN 978-87-93647-73-2
Figur 36a
Mikrofilamenter indgår i forskellige transport- og bevægelsessystemer.
a. I prokaryote celler
© Nucleus Forlag ApS | Illustrator: Elin Steffensen, Griffle | ISBN 978-87-93647-73-2
Figur 36b
Mikrofilamenter indgår i forskellige transport- og bevægelsessystemer.
b. I eukaryote celler
© Nucleus Forlag ApS | Illustrator: Elin Steffensen, Griffle | ISBN 978-87-93647-73-2
Figur 37
Celledeling.
© Nucleus Forlag ApS | Illustrator: Elin Steffensen, Griffle | ISBN 978-87-93647-73-2
Figur 38
Sammenligning af de homologe mikrofilamenter i prokaryote og eukaryote celler. Tubulin forlænges ved at dimerer af α- og β-tubulin påsættes røret, mens bakteriemikrotubuli opbygges af monomerer af det homologe protein FtsZ.
© Nucleus Forlag ApS | Illustrator: Elin Steffensen, Griffle | ISBN 978-87-93647-73-2
Figur 39a
Model af bakteriofagen PhiX174.
a. 60 kopier af kapsidproteinet (rød) danner en fodboldlignende sfærisk skal omkring virusens genom. Andre proteiner (blå) danner 12 femkantede pigge på overfladen. Piggene fungerer som receptorer der bindes til bestemte molekyler på overfladen af E. coli, og som derefter injicerer virus-DNA ind i bakteriecellen.
© Nucleus Forlag ApS | Illustrator: Elin Steffensen, Griffle | ISBN 978-87-93647-73-2
Figur 39b
Model af bakteriofagen PhiX174.
b. Kapsid- og pigge-proteinerne danner spontant femkantede enheder med fem kopier af hver. For at samle dem i en perfekt symmetrisk skal bruger PhiX174 en række specielle stilladsproteiner (grønne). Når viruspartiklen er samlet, fjernes stilladsproteinerne.
© Nucleus Forlag ApS | Illustrator: Elin Steffensen, Griffle | ISBN 978-87-93647-73-2
Figur 40
Reaktionshastigheden af enzymkatalyserede reaktioner ift. afhængighed af temperatur og pH.
a. Ved lav temperatur er diffusionshastigheden af substrat og enzym begrænsende for reaktionshastigheden. Ved høj temperatur denaturerer enzymet.
b. Enzymet denatureres og mister sin virkning ved pH-værdier der afviger meget fra optimum.
© Nucleus Forlag ApS | Illustrator: Elin Steffensen, Griffle | ISBN 978-87-93647-73-2
Figur 41
Model for proteiners foldning i forhold til deres omgivelser og funktionsmåde.
a. Et membranprotein indlejres i cellemembranen og danner en kanal med polær indre overflade.
b. Et enzym som virker i vandig opløsning i cytoplasma, stabiliseres af et upolært indre og har et bindingssted for upolære molekyler.
© Nucleus Forlag ApS | Illustrator: Elin Steffensen, Griffle | ISBN 978-87-93647-73-2
Figur 42a
Proteinet α-spectrin SH3 fra høns, Gallus gallus, består af én peptidkæde på 62 aminosyrer.
a. Computerberegnet model for proteinets struktur.
© Nucleus Forlag ApS | Illustrator: Elin Steffensen, Griffle | ISBN 978-87-93647-73-2
Figur 42b
Proteinet α-spectrin SH3 fra høns, Gallus gallus, består af én peptidkæde på 62 aminosyrer.
b. Eksperimentelt bestemt struktur.
© Nucleus Forlag ApS | Illustrator: Elin Steffensen, Griffle | ISBN 978-87-93647-73-2
Figur 43
Chaperonproteinet GroEL-GroES består af en dimer hvor hver underenhed udfører samme proces, blot forskudt.
a. Båndmodel for GroEL-GroES-kompleks. GroEL (grøn) er vist åben, mens GroEL (blå) er lukket af GroES (rød) som udgør et låg.
b. GroEL-GroES’s virkemåde.
1. GroEL (grøn) binder ATP, og konformationen ændres.
2. Det ufoldede eller fejlfoldede polypeptid bindes i enhedens indre rum, og GroES (rød) lukker rummet. GroEL (blå) frigør ADP og et korrekt foldet polypeptid.
3. GroEL (grøn) folder det bundne polypeptid under forbrug af ATP.
4-6. 1-3. gentages.
© Nucleus Forlag ApS | Illustrator: Elin Steffensen, Griffle | ISBN 978-87-93647-73-2
Figur 44
Resultatet af en netværksanalyse af et protein-protein-interaktionsnetværk i programmet STRING. Hvert protein er vist som en kugle, og forbindelserne mellem dem er vist som en streg. Nogle proteiner har flere forbindelser end andre hvilket kan pege på, at de spiller en central rolle i netværket.
© Nucleus Forlag ApS | Illustrator: Elin Steffensen, Griffle | ISBN 978-87-93647-73-2
Figur 45
a. En celle danner et protein (P) som respons på et signal (S).
b. Output som funktion af tid ved kortvarigt (rød) og længerevarende (blå) respons.
© Nucleus Forlag ApS | Illustrator: Elin Steffensen, Griffle | ISBN 978-87-93647-73-2
Figur 46
Udsnit af ASCII.
© Nucleus Forlag ApS | Illustrator: Elin Steffensen, Griffle | ISBN 978-87-93647-73-2
Figur 47
a. Kvarternær struktur for enzymet β-galactosidase fra bakterien E. coli.
b. Udsnit af aminosyresekvensen i β-galactosidasevist vha. et-bogstavkoden fra figur 28.
c. Udsnit af DNA-sekvensen i genet for β-galactosidase. Startkoden er vist med grøn og stopkoden med rød.
© Nucleus Forlag ApS | Illustrator: Elin Steffensen, Griffle | ISBN 978-87-93647-73-2
Figur 48
Opbygning af DNA. Rækkefølgen af nucleotider på langs af DNA-strengen kaldes DNA-sekvensen, basesekvensen eller nucleotid-sekvensen.
© Nucleus Forlag ApS | Illustrator: Elin Steffensen, Griffle | ISBN 978-87-93647-73-2
Figur 49
a. DNA-baser og 2-deoxyribose.
b. RNA-baser og ribose.
c. Væsentlige forskelle på DNA og RNA.
© Nucleus Forlag ApS | Illustrator: Elin Steffensen, Griffle | ISBN 978-87-93647-73-2
Figur 50
Det centrale dogme.
© Nucleus Forlag ApS | Illustrator: Elin Steffensen, Griffle | ISBN 978-87-93647-73-2
Figur 51
Den genetiske kode.
© Nucleus Forlag ApS | Illustrator: Elin Steffensen, Griffle | ISBN 978-87-93647-73-2
Figur 52
Forskellige mulige læserammer for en DNA-sekvens.
© Nucleus Forlag ApS | Illustrator: Elin Steffensen, Griffle | ISBN 978-87-93647-73-2
Figur 53
a. Binding af aminoacyl-tRNA-syntetase (grøn) til tRNA (gul).
b. Tabel over proteinsyntesens nøjagtighed ved forskellige fejlfrekvenser. Bemærk at fejlraten er lav også ved lange peptider ved en fejlrate på 10-4 (rød).
© Nucleus Forlag ApS | Illustrator: Elin Steffensen, Griffle | ISBN 978-87-93647-73-2
Figur 54
Proteinsyntese.
a. Proteinsyntesen i en prokaryot celle.
b. Uddybning af transskription.
c. Uddybning af translation.
d. Proteinsyntesen i en eukaryot celle.
© Nucleus Forlag ApS | Illustrator: Elin Steffensen, Griffle | ISBN 978-87-93647-73-2
Figur 55.
De vigtigste komponenter i et gen vist i symbolsproget SBOL. Den røde streg symboliserer dobbeltstrenget DNA. De forskellige symboler illustrerer DNA-sekvenser med forskellige funktioner. I nogle tilfælde forenkles SBOL-figurer så fx operator, RBS, terminator og evt. CDS undlades. Fx kan promotorsymbolet repræsentere hele genet.
© Nucleus Forlag ApS | Illustrator: Elin Steffensen, Griffle | ISBN 978-87-93647-73-2
Figur 56
a. SBOL-model for regulering af genekspression af ét gen på transskriptionsniveau. Et signalmolekyle laver et stimulus (S) der aktiverer et protein, en såkaldt transkriptionsfaktor (TF) der bindes til genets operator. Transskriptionsfaktorer kan virke som aktivatorer (grøn pil) eller som repressorer (rød pil). Både TF, mRNA og protein nedbrydes (Ø) med en bestemt rate.
b. Princippet i et transskriptionsnetværk hvor ekspressionen af flere gener (G) vha. en eller flere transskriptionsfaktorer påvirkes af flere signaler.
© Nucleus Forlag ApS | Illustrator: Elin Steffensen, Griffle | ISBN 978-87-93647-73-2
Figur 57
a. Matematisk model der simulerer aktivering af genekspressionsmodellen i figur 56a.
b. Hvis TF aktiveres kontinuert, medfører det aktivering af længerevarende genekspression.
c. Modeloutput ved simulering af kortvarig aktivering af TF resulterer i kort aktivering af genekspression.
© Nucleus Forlag ApS | Illustrator: Elin Steffensen, Griffle | ISBN 978-87-93647-73-2
Figur 58
Informationsflowet i E. coli kan udnyttes til at måle arsenkoncentrationer kvalitativt.
a. SBOL-model for genmodificeret E. coli der anvendes som biosensor for arsen.
b. Resultater for vandprøver med forskellige koncentrationer af arsen.
© Nucleus Forlag ApS | Illustrator: Elin Steffensen, Griffle | ISBN 978-87-93647-73-2
Figur 59
a. SBOL-model af et operon og dets regulatordel.
b. Når en repressor bindes til operatoren, slukkes strukturgenerne da RNA-polymerase forhindres i at passere operatoren og transskribere dem. Hvis repressoren bindes til en inducer, inaktiveres den, og transkriptionen kan foregå.
© Nucleus Forlag ApS | Illustrator: Elin Steffensen, Griffle | ISBN 978-87-93647-73-2
Figur 60
Cellen har en høj ekspression af lac-operon når der er lactose tilstede. Repressorproteinet er i det tilfælde ikke bundet til DNA i operatorområdet. Desuden aktiveres operon af aktivatorkomplekset cAMP-CRP i operatorområdet.
a. Repressorproteinets binding til operatoren.
b. Stregformel for cAMP.
c. Genregulering af lac-operon.
R: Repressor,
BG: β-galactosidase,
LP: Lactose-permease,
TA: Transacetylase,
A: Allolactose,
L: Lactose,
Gl: Glucose,
Ga: Galactose,
CRP: Transskriptionsfaktor (aktivator).
© Nucleus Forlag ApS | Illustrator: Elin Steffensen, Griffle | ISBN 978-87-93647-73-2
Figur 61
Regulering af transskription:
a. Ved fravær af S, bindes R til operator, så transskription hæmmes. Ved tilstedeværelse af S inaktiveres R, så transskription fremmes.
b. Ved fravær af S er R inaktiveret, så transskription fremmes. Ved tilstedeværelse af S binder R til operator og hæmmer transskription.
c. Ved fravær af S bindes A til operator, så transskription fremmes. Ved tilstedeværelse af S inaktiveres A, så transskription hæmmes.
d. Ved fravær af S er A inaktiveret, så transskription hæmmes. Ved tilstedeværelse af S bindes A til operator, så transskription fremmes.
© Nucleus Forlag ApS | Illustrator: Elin Steffensen, Griffle | ISBN 978-87-93647-73-2
Figur 62
Alternativ splejsning af exons giver mulighed for forskellige udgaver af et protein fordi der i genekspression anvendes forskellige kombinationer af exons.
© Nucleus Forlag ApS | Illustrator: Elin Steffensen, Griffle | ISBN 978-87-93647-73-2
Figur 63bcd
DNA-sekventering med nanoporeteknik.
b. Nanopore placeret i en kunstig membran. Når spændingen tilsluttes, løber en ionstrøm gennem poren som måles som en elektrisk spænding.
c. DNA-helicase spalter DNA fra prøven, og ssDNA føres gennem nanoporen.
d. Ionstrømmen varierer efter hvilket nucleotid der passerer, så ændringer i strømstyrke kan oversættes til en basesekvens.
© Nucleus Forlag ApS | Illustrator: Elin Steffensen, Griffle | ISBN 978-87-93647-73-2
Figur 64a
Anvendelse af DNA-microarray-chip til expressomics.
a. Fremgangsmåde ved sammenligning af genekspressionen hos E. coli i to vækstfaser. Chippens farver aflæses som: Rød: Øget ekspression ved udnyttelse af glucose. Grøn: Øget ekspression ved udnyttelse af lactose. Gul: Samme ekspression. Sort: Ingen ekspression.
© Nucleus Forlag ApS | Illustrator: Elin Steffensen, Griffle | ISBN 978-87-93647-73-2
Figur 65
Replikation af DNA.
a. DNA deles i en replikationsgaffel.
b. Replikationen sker kontinuert på den ledende streng og i korterer sekvenser på følgestrengen.
c. Flere enzymer indgår i replikationen.
© Nucleus Forlag ApS | Illustrator: Elin Steffensen, Griffle | ISBN 978-87-93647-73-2
Figur 67
Enzymer i bakterien I. sakaiensis kan nedbryde plastiktypen PET.
© Nucleus Forlag ApS | Illustrator: Elin Steffensen, Griffle | ISBN 978-87-93647-73-2
Figur 68
Produktion af de vigtigste typer af plastik på verdensplan i 2016, angivet i millioner ton. Stregformler er vist for hver plastiktypes monomer. Kun PET og PU kan nedbrydes af naturligt forekommende organismer.
© Nucleus Forlag ApS | Illustrator: Elin Steffensen, Griffle | ISBN 978-87-93647-73-2
Figur 69
Fem forskellige faser i en ingeniørmæssig designproces.
© Nucleus Forlag ApS | Illustrator: Elin Steffensen, Griffle | ISBN 978-87-93647-73-2
Figur 71
Design for et system med enheder og komponenter. SP er genet for et signalpepetid der gør at produktet, PETase, kan transporteres ud af systemet.
© Nucleus Forlag ApS | Illustrator: Elin Steffensen, Griffle | ISBN 978-87-93647-73-2
Figur 72
PETase-enhed med en inducibel promotor (pR) som aktiveres af blåt lys.
© Nucleus Forlag ApS | Illustrator: Elin Steffensen, Griffle | ISBN 978-87-93647-73-2
Figur 73
a. Det syntetiske plasmid pSB1C3 med selektionsgenet Amp, der giver resistens overfor ampicillin, samt en polylinker med BioBrick-klippesteder.
b. Biosensor Case 2-plasmidet med generne NahR og AmilCP. NahR har en konstitutiv promotor. Bindes proteinproduktet fra NahR til acetylsalicylsyre, fungerer det som en aktiverende transskriptionsfaktor for rapportørgenet AmilCP som danner et violet farveprotein. Bakterier der indeholder plasmidet, kan dermed fungere som sensor for om der er acetylsalicylsyre tilstede.
© Nucleus Forlag ApS | Illustrator: Elin Steffensen, Griffle | ISBN 978-87-93647-73-2
Figur 74
Gener for resistens mod antibiotika kan bruges som selektionsgener.
© Nucleus Forlag ApS | Illustrator: Elin Steffensen, Griffle | ISBN 978-87-93647-73-2
Figur 75
DNA-sekvensen i klippesteder for fire restriktionsenzymer. For hvert er der vist et SBOL-symbol.
© Nucleus Forlag ApS | Illustrator: Elin Steffensen, Griffle | ISBN 978-87-93647-73-2
Figur 77
Princippet i gensplejsning med restriktionsenzymerne EcoRI og XbaI. E: Klippested for EcoRI, X: Klippested for XbaI, CDS: Proteinkodende DNA.
© Nucleus Forlag ApS | Illustrator: Elin Steffensen, Griffle | ISBN 978-87-93647-73-2
Figur 81
a. Meiose og befrugtning. Kun ét af cellens kromosompar er vist. A, B, C, D, E og F er gener på kromosomet.
b. Mitose sker i hele kroppen og fører til vækst i fosteret og resten af individets liv.
© Nucleus Forlag ApS | Illustrator: Elin Steffensen, Griffle | ISBN 978-87-93647-73-2
Figur 82
Model for nedarving af epigenetiske modifikationer.
© Nucleus Forlag ApS | Illustrator: Elin Steffensen, Griffle | ISBN 978-87-93647-73-2
Figur 83
Molekylære epigenetiske mekanismer på fire niveauer i cellen.
© Nucleus Forlag ApS | Illustrator: Elin Steffensen, Griffle | ISBN 978-87-93647-73-2
Figur 84
a. Hvert nucleosom består af 8 histoner, to kopier af hver H2A, H2B, H3 og H4 som kan modificeres.
b. Eksempler på modifikation af histonhaler i N-terminalen af H3, H2A, H2B og H4. Bogstaverne er et-bogstavskoder for aminosyrer. Især lysin (K), arginin (R), threonin (T) og serin (S) er ofte modificerede.
c. Udvalgte eksempler på histonmodifikationers effekt i celler.
© Nucleus Forlag ApS | Illustrator: Elin Steffensen, Griffle | ISBN 978-87-93647-73-2
Figur 85
a. Methyleringsmønster i forskellige alleler.
b. Sammenhæng mellem methyleringsmønster i et gens promotor og genekspression.
© Nucleus Forlag ApS | Illustrator: Elin Steffensen, Griffle | ISBN 978-87-93647-73-2
Figur 86
Sammenhænge mellem afvigende DNA-methylering i gener og metaboliske sygdomme.
© Nucleus Forlag ApS | Illustrator: Elin Steffensen, Griffle | ISBN 978-87-93647-73-2
Figur 88
Methylering af 13 CG-områder i 10 alleler af genet Tas1r1. Genet er forbundet med øget fedmerisiko. Methylering steg 31,5 % hos afkom hvor forældrene fik fedtfattigt kost.
© Nucleus Forlag ApS | Illustrator: Elin Steffensen, Griffle | ISBN 978-87-93647-73-2
Figur 89
DNA-methylering i udviklingen af tomater.
a. Den normale udgave af allelen hvor promotoren demethyleres ved modning.
b. CNR-epiallel hvor promotoren ikke kan demethyleres, og modning derfor hindres.
© Nucleus Forlag ApS | Illustrator: Elin Steffensen, Griffle | ISBN 978-87-93647-73-2
Figur 92
Menneskekroppens organsystemer.
© Nucleus Forlag ApS | Illustrator: Elin Steffensen, Griffle | ISBN 978-87-93647-73-2
Figur 93
Det homeodynamiske rum i barndom, voksenliv og alderdom.
© Nucleus Forlag ApS | Illustrator: Elin Steffensen, Griffle | ISBN 978-87-93647-73-2
Figur 94
Fosterudvikling hos protostome og deuterostome dyr.
© Nucleus Forlag ApS | Illustrator: Elin Steffensen, Griffle | ISBN 978-87-93647-73-2
Figur 95
Stamcellers specialisering.
© Nucleus Forlag ApS | Illustrator: Elin Steffensen, Griffle | ISBN 978-87-93647-73-2
Figur 96
Omkodning af stamceller i de første stadier af fosterudvikling frem til dag syv efter befrugtning.
© Nucleus Forlag ApS | Illustrator: Elin Steffensen, Griffle | ISBN 978-87-93647-73-2
Figur 97
Genregulering hos eukaryoter.
a. RNA-polymerases binding til promotorregionen aktiveres ved binding til generelle og specielle transskriptionsfaktorer. Promotorregionens start markeres med nucleotidsekvensen TATA.
b. Aktivering af samme gen kan ske med forskellige transskriptionsfaktorer i forskellige væv. Gener transskriberes med en lav rate i celler hvor der kun er generelle transskriptionsfaktorer til stede. En repressor får transskriptionen til at ophøre, mens en aktivator øger den.
© Nucleus Forlag ApS | Illustrator: Elin Steffensen, Griffle | ISBN 978-87-93647-73-2
Figur 98
Homologe homeobox-gener hos bananflue, lancetfisk og menneske. Hos bananflue kaldes generne HOM, og hos chordater kaldes de HOX. Til venstre vises de formodede slægtskabsforhold. Til højre er med farve angivet hvilke gener der fortrinsvis styrer forskellige kropssegmenter.
© Nucleus Forlag ApS | Illustrator: Elin Steffensen, Griffle | ISBN 978-87-93647-73-2
Figur 99
Kontrol med ekspression af HOM-gener i forskellige segmenter i kroppen vha. koncentrationsgradient af signalstoffet bicoid i bananfluer.
© Nucleus Forlag ApS | Illustrator: Elin Steffensen, Griffle | ISBN 978-87-93647-73-2
Figur 100
Model for hvordan en koncentrationsgradient kan regulere, at gener udtrykkes forskelligt ad kroppens længdeakse. I eksemplet styres kroppens farve af gen R som giver rød farve, gen G som giver gul farve, og gen B som giver blå farve. Alle regulatorsekvenser skal aktiveres for at genet udtrykkes. Celler i forkroppen danner signalstof (S) som kan aktivere membranbundne receptorer (R). Ved høj koncentration af transkriptionsfaktor (TF) udtrykkes gen R som samtidig hæmmer gen G og gen B. Ved mellemkoncentration af TF udtrykkes gen R ikke. Gen G udtrykkes til gengæld og hæmmer gen B. Ved lav koncentration af S aktiveres gen R og gen G ikke, men det gør gen B.
© Nucleus Forlag ApS | Illustrator: Elin Steffensen, Griffle | ISBN 978-87-93647-73-2
Figur 101
Kontrol med ekspression af HOX-gener i forskellige segmenter i menneskekroppen vha. af gradienter gennem kroppen af de to signalstoffer RA og FGF.
© Nucleus Forlag ApS | Illustrator: Elin Steffensen, Griffle | ISBN 978-87-93647-73-2
Figur 102
Vækstmodel for populationsvækst.
N0: Antal celler til tiden 0.
t: Tiden.
r: Den specifikke vækstrate.
K: Bærekapaciteten.
© Nucleus Forlag ApS | Illustrator: Elin Steffensen, Griffle | ISBN 978-87-93647-73-2
Figur 103
a. Von Bertalanffys model for individvækst.
b. Forventede vækstkurver for raske piger og drenge.
© Nucleus Forlag ApS | Illustrator: Elin Steffensen, Griffle | ISBN 978-87-93647-73-2
Figur 104
a. Ydre kårfaktorer der påvirker fødens optagelse og udnyttelse i kroppen.
K: Konsumeret føde.
F: Fæces (afføring).
A: Absorberet (optaget) føde.
R: Respiration.
NP: Nettoproduktion.
b. Gennemsnitlig kropshøjde hos mænd født mellem 1810 og 1980. I 1845-49 blev den europæiske kartoffelhøst ramt af svampesygdom, og Irland blev pga. stor afhængighed af kartofler som fødekilde ramt af hungersnød.
© Nucleus Forlag ApS | Illustrator: Elin Steffensen, Griffle | ISBN 978-87-93647-73-2
Figur 105
a. Endokrin regulering. Hormon udskilles af en kirtelcelle i en hormonkirtel og regulerer celler i andre dele af kroppen.
b. Parakrin regulering. Lokalhormon regulerer naboceller.
c. Autokrin regulering. Lokalhormonet regulerer cellen selv.
© Nucleus Forlag ApS | Illustrator: Elin Steffensen, Griffle | ISBN 978-87-93647-73-2
Figur 106
Hormonel vækstregulering.
a. Placeringen af hypothalamus og hypofysen i hjernen.
b. Regulering af vækst ved humant væksthormon (GH).
c. Regulering af vækst ved testosteron.
© Nucleus Forlag ApS | Illustrator: Elin Steffensen, Griffle | ISBN 978-87-93647-73-2
Figur 107
Forventelig levealder for befolkningen i forskellige verdensdele.
© Nucleus Forlag ApS | Illustrator: Elin Steffensen, Griffle | ISBN 978-87-93647-73-2
Figur 108
Årsager til cellers senescens og dens konsekvenser.
© Nucleus Forlag ApS | Illustrator: Elin Steffensen, Griffle | ISBN 978-87-93647-73-2
Figur 109
Forkortelse af telomerer ved kopiering af kromosomer.
© Nucleus Forlag ApS | Illustrator: Elin Steffensen, Griffle | ISBN 978-87-93647-73-2
Figur 111
Cutinase og PETase vist som spacefill-modeller. Hydrofobe aminosyrer er røde, og hydrofile aminosyrer er blå.
© Nucleus Forlag ApS | Illustrator: Elin Steffensen, Griffle | ISBN 978-87-93647-73-2
Figur 112
Pga. mutationer opstår der fænotypisk variation − her symboliseret med forskellige farver.
a. Et biologisk artsbegreb: Arten afgrænses af hvilke fænotyper der er forbundne ved at de kan få formeringsdygtigt afkom med hinanden.
b. Et evolutionært artsbegreb: Arten forstås som en grad af fænotypiske fællestræk på baggrund af fælles oprindelse.
© Nucleus Forlag ApS | Illustrator: Elin Steffensen, Griffle | ISBN 978-87-93647-73-2
Figur 113
De tre domæner.
© Nucleus Forlag ApS | Illustrator: Elin Steffensen, Griffle | ISBN 978-87-93647-73-2
Figur 115
Diversifikation. En population formerer sig, og der opstår arvelig variation (1). Der opstår et selektionstryk. Nogle fænotyper sætter forholdsvis mere afkom i verden end de øvrige, og de bliver dominerende i populationen (2).
© Nucleus Forlag ApS | Illustrator: Elin Steffensen, Griffle | ISBN 978-87-93647-73-2
Figur 116
Vækstkurver hos vildtyper (gul) og mutanter (grøn) når de a. vokser hver for sig og b. vokser i en blandingskultur.
© Nucleus Forlag ApS | Illustrator: Elin Steffensen, Griffle | ISBN 978-87-93647-73-2
Figur 117
Beregning af fitnesskoefficient (F) og selektionskoefficient (s) for tre genotyper.
© Nucleus Forlag ApS | Illustrator: Elin Steffensen, Griffle | ISBN 978-87-93647-73-2
Figur 118
Inddeling af genmutationer og deres konsekvenser for aminosyresekvensen. Hvis sekvenserne læses som RNA-tripletter, skiftes T ud med U.
© Nucleus Forlag ApS | Illustrator: Elin Steffensen, Griffle | ISBN 978-87-93647-73-2
Figur 119.
Genduplikation.
© Nucleus Forlag ApS | Illustrator: Elin Steffensen, Griffle | ISBN 978-87-93647-73-2
Figur 120
Gærs udnyttelse af glucose og ethanol. Blå angiver ethanolgæring. Rød angiver procesvejen PDB.
© Nucleus Forlag ApS | Illustrator: Elin Steffensen, Griffle | ISBN 978-87-93647-73-2
Figur 121
Transposoner.
a. Cut-and-paste.
b. Copy-and-paste.
© Nucleus Forlag ApS | Illustrator: Elin Steffensen, Griffle | ISBN 978-87-93647-73-2
Figur 122
Horisontal genoverførsel i bakterier ved transformation, transduktion og konjugation.
© Nucleus Forlag ApS | Illustrator: Elin Steffensen, Griffle | ISBN 978-87-93647-73-2
Figur 123
Netværksdesign. Netværk kan forekomme i forskellige udgaver:
a. Tilfældige netværk hvor der ikke er overordnede mønstre i hvordan knuderne er forbundne.
b. Hierakiske netværk hvor forbindelserne mellem knuderne udgør en pyramidestruktur.
c. Skalafrie netværk hvor få centrale knuder har mange forbindelser, og mange knuder har få.
d. Hierakisk moduliserede netværk hvor få centrale knuder har forbindelser til underordnede, der optræder i moduler.
I levende organismer findes ofte c og d. Det tyder på at netop disse designs giver robusthed og evolutionære fordele.
© Nucleus Forlag ApS | Illustrator: Elin Steffensen, Griffle | ISBN 978-87-93647-73-2
Figur 124
Evolutionsteoriens udvikling fra Darwins evolutionsteori (1859) over den moderne syntese/neodarwinismen (udviklet særligt i årene 1940-1960) til et moderne syn på evolution, som ifølge nogle forskere bør føre til en egentlig revision i form af en udvidet evolutionsteori.
© Nucleus Forlag ApS | Illustrator: Elin Steffensen, Griffle | ISBN 978-87-93647-73-2
Figur 125
Vigtige begivenheder i livets historie på Jorden.
© Nucleus Forlag ApS | Illustrator: Elin Steffensen, Griffle | ISBN 978-87-93647-73-2
Figur 126
a. Oparins hypotese for hvordan liv opstod på Jorden.
b. Model for et system der kan betragtes som liv. Modellen er en udvidelse af figur 7, som viser et forslag fra forskerne på SDU til hvordan samspillet mellem undersystemerne kan foregå.
© Nucleus Forlag ApS | Illustrator: Elin Steffensen, Griffle | ISBN 978-87-93647-73-2
Figur 127
Membransystemer af phospholipidlignende molekyler.
© Nucleus Forlag ApS | Illustrator: Elin Steffensen, Griffle | ISBN 978-87-93647-73-2
Figur 128
Forskellige almindeligt forekommende membranlipider.
© Nucleus Forlag ApS | Illustrator: Elin Steffensen, Griffle | ISBN 978-87-93647-73-2
Figur 129
Aminosyrer indeholder et kiralt C-atom og findes i to spejlbilledisomere former. Begreberne stammer fra græsk: cheir (hånd), dextro (højrehåndet) og levo (venstrehåndet).
© Nucleus Forlag ApS | Illustrator: Elin Steffensen, Griffle | ISBN 978-87-93647-73-2
Figur 130
a. Phospholipid i arkæer.
b. Phospholipid i bakterier og eukaryoter. De røde bindinger angiver etherbindinger og * angiver kirale C-atomer.
© Nucleus Forlag ApS | Illustrator: Elin Steffensen, Griffle | ISBN 978-87-93647-73-2
Figur 131
GADV-hypotesen.
© Nucleus Forlag ApS | Illustrator: Elin Steffensen, Griffle | ISBN 978-87-93647-73-2
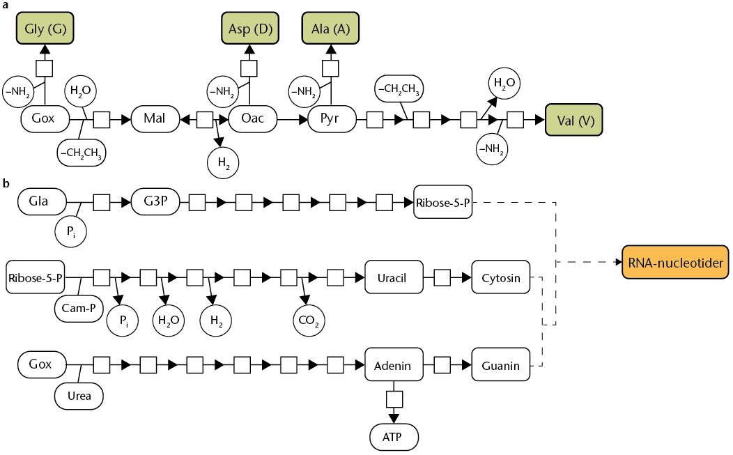
Figur 132
a. Model for en mulig præbiotisk GADV-aminosyresyntese.
b. Model for en mulig præbiotisk syntese af ribose og nucleotider.
Stiplede pile repræsenterer flere reaktioner, som er udeladt for overskuelighedens skyld.
Gox: Glyoxylat.
Oac: Oxaloacetat.
Gla: Glyceraldehyd.
Pyr: Pyruvat.
G3P: Glyceraldehyd-3-phosphat.
Cam-P: Carbamoylphosphat.
Mal: Malat.
© Nucleus Forlag ApS | Illustrator: Elin Steffensen, Griffle | ISBN 978-87-93647-73-2
Figur 133a
Model for en hypotetisk protocelles energistofskifte i et hydrotermisk miljø.
© Nucleus Forlag ApS | Illustrator: Elin Steffensen, Griffle | ISBN 978-87-93647-73-2
Figur 133c
Placeringen af The Lost City i Altanterhavet.
© Nucleus Forlag ApS | Illustrator: Elin Steffensen, Griffle | ISBN 978-87-93647-73-2
Figur 134. Metabolismen hos methanogene organismer.
a. Dannelse af hydrongradient. Enzymet Hdr overfører elektroner fra H2 til ferredoxin (Fd) og til en disulfidbinding (-S-S-) i et andet protein. Reduceret ferredoxin (Fd-) omdanner CO2 til en methylgruppe (-CH3). Det frigiver energi til at pumpe 2 H+ ud gennem membranen. -CH3 reduceres til methan (CH4) af HS-gruppen. Ved processen dannes en H+-gradient over cellemembranen.
b. Dannelse af ATP og carbonmetabolisme vha. hydrongradient. Hy overfører vha. Fd elektroner til CO2, der omdannes til en CH3-gruppe, som via acetyl CoA indgår i cellens stofskifte. ATP-syntetase danner ATP pga. H+-gradienten.
© Nucleus Forlag ApS | Illustrator: Elin Steffensen, Griffle | ISBN 978-87-93647-73-2
Figur 135
Hypotesen om en RNA-verden.
© Nucleus Forlag ApS | Illustrator: Elin Steffensen, Griffle | ISBN 978-87-93647-73-2
Figur 136a. To varianter af hypotesen om en RNA-verden.
a. I livets første fase opstod en RNA-verden med en ribozymbaseret metabolisme og RNA-replikation vha. ribozym-polymeraser. Ved udviklingen af ribosomer og den genetiske kode opstod en Protein-RNA-DNA-verden, som udkonkurrerede RNA-verdenens livsformer.
© Nucleus Forlag ApS | Illustrator: Elin Steffensen, Griffle | ISBN 978-87-93647-73-2
Figur 136b. To varianter af hypotesen om en RNA-verden.
Proteiner og andre molekyler har været en del af metabolismen allerede fra begyndelsen, og der skete ikke et egentligt skift. Ribosomerne havde en central rolle tidligere end i a.
© Nucleus Forlag ApS | Illustrator: Elin Steffensen, Griffle | ISBN 978-87-93647-73-2
Figur 137. Hypotese for dannelse af den genetiske kode.
1. Tilfældige processer leder til den genetiske urkode GNC. N: A, U, G eller C. 4 codons for 4 GADV-aminosyrer
2. Co-evolution og adaptation medfører at GNC udvides til en primitiv genetisk kode SNS. S: G eller C. 16 codons for 10 aminosyrer.
3. SNS udvides gradvist til den universelle genetiske kode. Undervejs sker selektion af de mest robuste codons.
© Nucleus Forlag ApS | Illustrator: Elin Steffensen, Griffle | ISBN 978-87-93647-73-2






































































































































